UPSSSC Announces Final Results for Mandi Parishad Secretary Recruitment 2024
UPSSSC Mandi Parishad Secretary Recruitment 2024 - Final Results Released
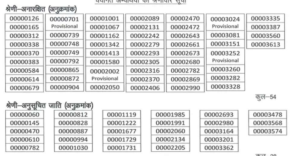
Overview: The Uttar Pradesh Subordinate Service Selection Commission (UPSSSC) has published the final results for the Mandi Parishad Sachiv Grade II Recruitment 2024. This recruitment drive was organized by the Uttar Pradesh State Agricultural Production Market Council, offering a total of 134 positions. Candidates who participated in the recruitment process can now access their Final Result for 2026.
The recruitment initiative commenced in April 2024 and involved several phases, including eligibility checks, a written examination, and the evaluation of answer keys. The written test took place on April 13, 2025, with the answer key released shortly after on April 15, 2025. After a prolonged wait, the commission announced the final results on April 30, 2026.
This recruitment is a significant opportunity for individuals seeking government employment in Uttar Pradesh, particularly within the agricultural and mandi sectors. The Sachiv Grade II role is vital for overseeing mandi operations and managing agricultural market activities.
To qualify for this recruitment, applicants needed to possess a UPSSSC PET 2023 scorecard and a bachelor's degree in relevant fields such as Agriculture, Agricultural Marketing, Science, Commerce, Economics, or Agricultural Economics.
Those who have successfully qualified will now move on to the document verification stage and subsequent appointment procedures. Candidates are advised to prepare their documents and adhere to official guidelines closely.
This recruitment offers a stable and respectable government job opportunity, with selected candidates being assigned to various mandi parishad offices throughout Uttar Pradesh.
| Uttar Pradesh Subordinate Service Selection Commission (UPSSSC) Mandi Parishad Sachiv Grade II Recruitment 2024 WWW.SARKARIJOBFIND.COM |
|
Key Dates
|
Application Fee
|
| Age Criteria (as of 01/07/2024) Minimum Age: 21 Years Maximum Age: 40 Years |
|
Eligibility Criteria
|
|
Selection Process
|
|
Vacancy Breakdown
|
|
Application Process
|
|
| If You Appreciate SARKARIJOBFIND.COM, Please Share. | |
| Important Links | |
| Download Final Result | Click Here |
| Download Notification | Click Here |
| Official Website | Click Here |
| Download Test Series App | Click Here |
Frequently Asked Questions
Q1. When was the final result released?
30 April 2026.
Q2. How many vacancies are available?
134 Posts.
Q3. What qualifications are required?
Graduate + PET Score.
Q4. What is the selection process?
Written Exam + Document Verification.
Q5. What is the next step after the result?
Document Verification.
